时间限制:1000 ms
内存限制:128 MiB
标准输入输出
题目类型:传统
评测方式:文本比较
小杨有一棵包含 个节点的树,节点从 到 编号。每个节点要么是白色,要么是黑色。
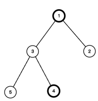
对于树上的一条简单路径(不经过重复节点的路径),小杨认为它是美丽的当且仅当路径上相邻节点的颜色均不相同。例如下图,其中节点 和节点 是黑色,其余节点是白色,路径 是美丽路径,而路径 不是美丽路径(相邻节点 和 颜色相同)。

对于树上一条简单路径,小杨认为它的长度是路径包含的节点数量。小杨想知道最长美丽路径的长度是多少。
第一行包含一个正整数 ,表示节点数量。
第二行包含 个整数 ,代表每个节点的颜色。如果 ,节点 为白色;如果 ,节点 为黑色。
之后 行,每行两个正整数 ,表示树上一条边。
样例输入 1
5
1 0 0 1 0
1 2
3 5
4 3
1 3
样例输出 1
样例输入 2
5
0 0 0 0 0
1 2
2 3
3 4
4 5
样例输出 2